招生就业
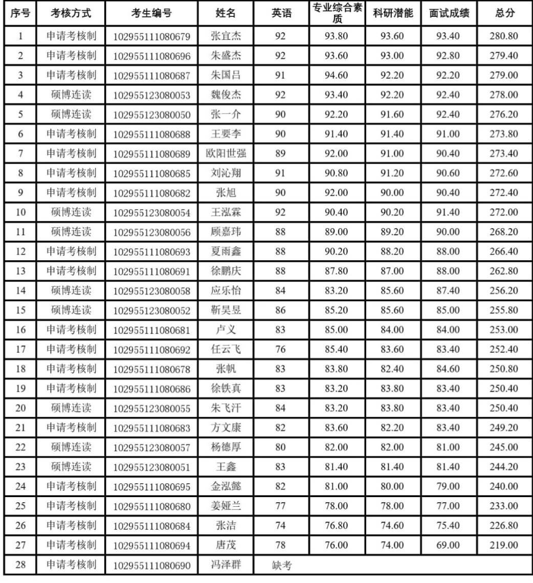
由机械工程学院组织的2025年博士面试考核已经结束,现将考核成绩公布如下:
星空体育登录网页入口
2025年1月13日
上一篇:机械工程学院2025年博士研究生拟录取名单公示(第一批)
下一篇:机械工程学院2025年博士综合考核安排
技术支持:信息化建设管理处
校内设备号:JW190003
版权所有:星空体育登录网页入口(中国)股份有限公司 邮编:214122 联系方式:0510-85910562服务邮箱:jxgcxy@jiangnan.edu.cn